Voici une 4ème vidéo de géométrie dans l’espace au programme de la spécialité maths de Terminale. Cette vidéo concerne la notion importante de représentation paramétrique d’une droite.
Dans l’espace, une droite d pourra être définie par une représentation paramétrique.
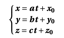
Pour l’obtenir, nous aurons besoin d’un point $latex A(x_0;y_0;z_0)$ et d’un vecteur directeur $latex \overrightarrow{u}(a;b;c)$ de la droite d.
Alors la droite d aura comme représentation paramétrique le système suivant :

où $latex t \in \mathbb{R}$. Le réel $latex t$ s’appelle le paramètre de la droite.
Ainsi le point $latex A(x_0;y_0;z_0)$ est le point de la droite d de paramètre $latex t=0$.
Dans la vidéo, tu apprendras :
– à déterminer une représentation paramétrique de la droite (AB) connaissant les coordonnées des points A et B;
– à déterminer un point et un vecteur directeur d’une droite connaissant une représentation paramétrique de cette droite;
– à montrer que deux droites sont parallèles à partir de leurs représentations paramétriques;
– à déterminer si un point K dont on connaît les coordonnées appartient à une droite dont on connaît une représentation paramétrique.
Sans plus tarder, tu peux visionner la vidéo ici :
Pour vérifier que tu as bien compris les notions vues dans la vidéo, voici une feuille d’exercices la notion de représentation paramétrique d’une droite.
Et pour vérifier tes résultats, voici le corrigé de la feuille.
Dis-moi en commentaire si tu as compris cette notion de représentation paramétrique d’une droite, je te remercie !


Commentaires
Aucun commentaire pour le moment.